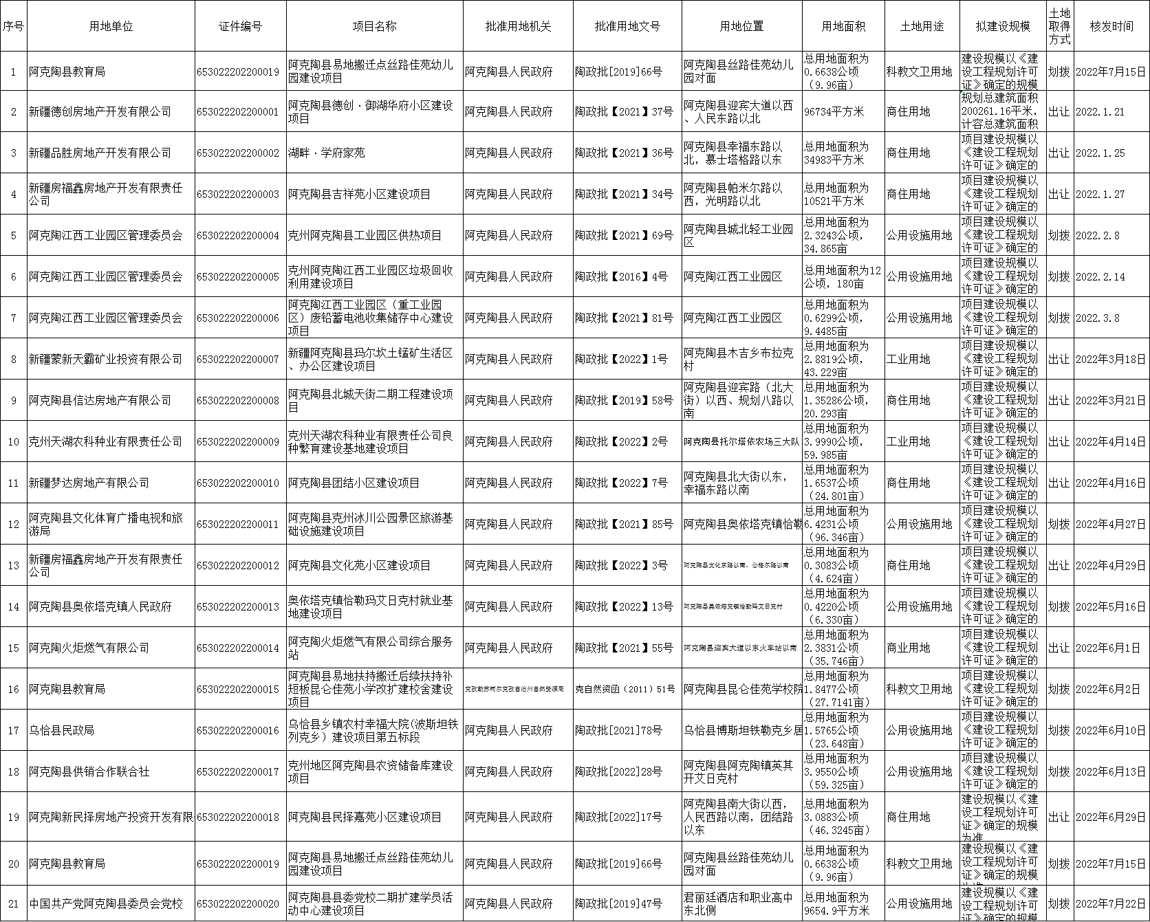
2022年建设用地规划许可证台账
| 索 引 号 | K45893645/2022-02086 | 主题分类 | |
| 名 称 | |||
| 主 题 词 | 建设 用地 规划 | 成文日期 | |
| 文 号 | 〔〕号 | 发布日期 | 2022-07-30 16:23 |
| 发文单位 | 阿克陶县自然资源局 | 发布机构 | 阿克陶县自然资源局 |

解读文章
| 索 引 号 | K45893645/2022-02086 | 主题分类 | |
| 名 称 | |||
| 主 题 词 | 建设 用地 规划 | 成文日期 | |
| 文 号 | 〔〕号 | 发布日期 | 2022-07-30 16:23 |
| 发文单位 | 阿克陶县自然资源局 | 发布机构 | 阿克陶县自然资源局 |
